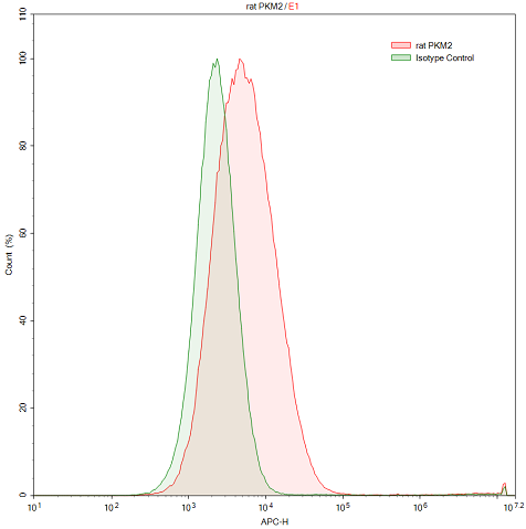
Anti-Pyruvate kinase isozymes M2 (PKM2) Polyclonal Antibody
M2PK; PKM; M2-PK; PKM1; CTHBP; OIP3; PK3; PKM; TCB; THBP1; Pyruvate kinase muscle isozyme; Thyroid hormone-binding protein 1; Cytosolic thyroid hormone-binding protein; Pyruvate Kinase, Muscle
- Product No.FAA588Ra01
- Organism SpeciesRattus norvegicus (Rat) Same name, Different species.
- Potency (Clone Number)n/a
- Ig Type IgG
- PurificationAntigen-specific affinity chromatography followed by Protein A affinity chromatography
- LabelNone
- Excitation LaserNone
- Vol. per test1-5 µl
- Buffer Formulation0.01M PBS, pH7.4, containing 0.05% Proclin-300, 50% glycerol.
- TraitsLiquid
- Organism Species MoreHomo sapiens (Human)
- ApplicationsFCM
- Downloadn/a
- UOM 25test50test 100test 200test 500test
- FOB
US$ 120
US$ 200
US$ 320
US$ 400
US$ 700
For more details, please contact local distributors!
USAGE
For flow cytometry, the suggested use of this reagent is 1-5 µl per 10^6 cells in 100 µl volume.
Optimal working dilutions could be determined by end user.
STORAGE
Store at 4°C for frequent use. Stored at -20°C in a manual defrost freezer for one year without detectable loss of activity. Avoid repeated freeze-thaw cycles.
GIVEAWAYS
INCREMENT SERVICES
-
Protein A/G Purification Column
-
Positive Control for Antibody
-
Tissue/Sections Customized Service
-
Phosphorylated Antibody Customized Service
-
Flow Cytometry (FCM) Experiment Service
-
Immunoprecipitation (IP) Experiment Service
-
Immunofluorescence (IF) Experiment Service
-
Buffer
-
DAB Chromogen Kit
-
SABC Kit
-
Isotype Control
-
Real Time PCR Experimental Service
| Magazine | Citations |
| Cancer Research | Antigen Presentation by Dendritic Cells in Tumors Is Disrupted by Altered Metabolism that Involves Pyruvate Kinase M2 and Its Interaction with SOCS3 AACR: 70189 |
| Molecular BioSystems | Abnormal levels of heterogeneous nuclear ribonucleoprotein A2B1 (hnRNPA2B1) in tumour tissue and blood samples from patients diagnosed with lung cancer Pubmed:25483567 |
| Tumour Biol | M2 isoform of pyruvate kinase (PKM2) is upregulated in Kazakh’s ESCC and promotes proliferation and migration of ESCC cells PubMed: 26404132 |
| Oncotarget | Identification of a serum biomarker panel for the differential diagnosis of cholangiocarcinoma and primary sclerosing cholangitis Pubmed:29707118 |
| Journal of Neurotrauma | Acteoside improves muscle atrophy and motor function by inducing new myokine secretion in chronic spinal cord injury Pubmed: 30318996 |
| Cell Reports | Secreted Pyruvate Kinase M2 Promotes Lung Cancer Metastasis through Activating the Integrin Beta1/FAK Signaling Pathway Pubmed: 32049010 |
| Chrysin serves as a novel inhibitor of DGKα/FAK interaction to suppress the malignancy of esophageal squamous cell carcinoma (ESCC) | |
| Cancer Cell International | Bufalin Induced Mitochondrial Dysfunction Promotes Apoptosis of Glioma Cells by Regulating Annexin A2 and DRP1 Proteins |
| Cancer Cell Int | Bufalin induces mitochondrial dysfunction and promotes apoptosis of glioma cells by regulating Annexin A2 and DRP1 protein expression 34376212 |
| Life (Basel) | Putative Association between Low Baseline Gene Expression in the Peripheral Blood and Clinical Remission in Rheumatoid Arthritis Patients Treated with Tofacitinib 34947916 |
| Catalog No. | Related products for research use of Rattus norvegicus (Rat) Organism species | Applications (RESEARCH USE ONLY!) |
| RPA588Ra01 | Recombinant Pyruvate kinase isozymes M2 (PKM2) | Positive Control; Immunogen; SDS-PAGE; WB. |
| PAA588Ra01 | Polyclonal Antibody to Pyruvate kinase isozymes M2 (PKM2) | WB; IHC; ICC/IF; FCM |
| FAA588Ra01 | Anti-Pyruvate kinase isozymes M2 (PKM2) Polyclonal Antibody | FCM |
| MAA588Ra21 | Monoclonal Antibody to Pyruvate kinase isozymes M2 (PKM2) | WB; IHC; ICC; IP. |
| SEA588Ra | ELISA Kit for Pyruvate kinase isozymes M2 (PKM2) | Enzyme-linked immunosorbent assay for Antigen Detection. |
| LMA588Ra | Multiplex Assay Kit for Pyruvate kinase isozymes M2 (PKM2) ,etc. by FLIA (Flow Luminescence Immunoassay) | FLIA Kit for Antigen Detection. |
