Anti-Heat Shock Protein 60 (Hsp60) Polyclonal Antibody
HSPD1; GROEL; CPN60; HuCHA60; Heat Shock 60kD Protein 1, Chaperonin; Spastic Paraplegia 13,Autosomal Dominant; 60 kDa chaperonin; Mitochondrial matrix protein P1; P60 lymphocyte protein
- Product No.FAA822Hu01
- Organism SpeciesHomo sapiens (Human) Same name, Different species.
- Potency (Clone Number)n/a
- Ig Type IgG
- PurificationAntigen-specific affinity chromatography followed by Protein A affinity chromatography
- LabelNone
- Excitation LaserNone
- Vol. per test1-5 µl
- Buffer Formulation0.01M PBS, pH7.4, containing 0.05% Proclin-300, 50% glycerol.
- TraitsLiquid
- Organism Species Moren/a
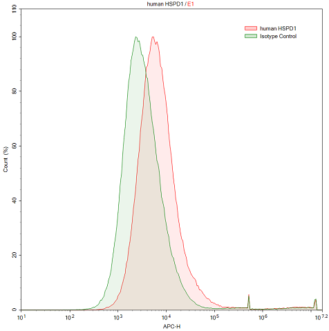
- ApplicationsFCM
- Downloadn/a
- UOM 25test50test 100test 200test 500test
- FOB
US$ 120
US$ 200
US$ 320
US$ 400
US$ 700
For more details, please contact local distributors!
USAGE
For flow cytometry, the suggested use of this reagent is 1-5 µl per 10^6 cells in 100 µl volume.
Optimal working dilutions could be determined by end user.
STORAGE
Store at 4°C for frequent use. Stored at -20°C in a manual defrost freezer for one year without detectable loss of activity. Avoid repeated freeze-thaw cycles.
GIVEAWAYS
INCREMENT SERVICES
-
Protein A/G Purification Column
-
Positive Control for Antibody
-
Tissue/Sections Customized Service
-
Phosphorylated Antibody Customized Service
-
Flow Cytometry (FCM) Experiment Service
-
Immunoprecipitation (IP) Experiment Service
-
Immunofluorescence (IF) Experiment Service
-
Buffer
-
DAB Chromogen Kit
-
SABC Kit
-
Isotype Control
-
Real Time PCR Experimental Service
| Magazine | Citations |
| Sci Rep | Hsp60 response in experimental and human temporal lobe epilepsy PubMed: 25801186 |
| Cellular and Molecular Gastroenterology and Hepatology | Senescent hepatocytes in decompensated liver show reduced UPR and its key player, CLPP, attenuates senescence in vitro Pubmed: 30878663 |
| Breast Cancer Res Treat | Activation of mitochondrial unfolded protein response is associated with Her2-overexpression breast cancer Pubmed: 32601970 |
